Javascript required
Skip to content Skip to sidebar Skip to footer

Ncert Math Solution Class 8 Chapter 9.1

NCERT Solutions for Class 8 Maths Chapter 9 Algebraic Expressions and Identities Ex 9.1 are part of NCERT Solutions for Class 8 Maths. Here we have given NCERT Solutions for Class 8 Maths Chapter 9 Algebraic Expressions and Identities Ex 9.1.

  • Algebraic Expressions and Identities Class 8 Ex 9.2
  • Algebraic Expressions and Identities Class 8 Ex 9.3
  • Algebraic Expressions and Identities Class 8 Ex 9.4
  • Algebraic Expressions and Identities Class 8 Ex 9.5
Board CBSE
Textbook NCERT
Class Class 8
Subject Maths
Chapter Chapter 9
Chapter Name Algebraic Expressions and Identities
Exercise Ex 9.1
Number of Questions Solved 4
Category NCERT Solutions

NCERT Solutions for Class 8 Maths Chapter 9 Algebraic Expressions and Identities Ex 9.1

Ex 9.1 Class 8 Maths Question 1.
Identify the terms, their coefficients for each of the following expressions :
(i) 5xyz2 – 3zy
(ii) 1 + x + x2
(iii) 4x2y2 – 4x2y2z2 + z2
(iv) 3 – pq + qr -rp
(v) \frac { x }{ 2 } +\frac { y }{ 2 } -xy
(vi) 0.3a – 0.6ab + 0.5b
Solution:
(i) In the expression 5xyz2 – 3zy, the terms are 5xyz2 and -3zy.
Coefficient of xyz2 in the term 5xyz2 is 5.
Coefficient of zy in the term – 3yz is – 3.

(ii) In the expression 1 + x + x2, the terms are 1, x and x2.
Coefficient of term 1 is 1.
Coefficient of x in the term x is 1.
Coefficient of x2 in the term x2 is 1.

(iii) In the expression 4x y – 4xyz + z , the terms are 4x2y2, – 4x2y2z2 and z2.
Coefficient of x2y2 in the term 4x2y2 is 4.
Coefficient of x2y2z2 in the term – 4x2y2z2 is – 4.
Coefficient of z2 in the term z2 is 1.

(iv) In the expression 3 – pq + qr – rp, the terms are 3, – pq, qr and – rp.
Coefficient of term 3 is 3.
Coefficient of pq in the term – pq is -1.
Coefficient of qr in the term qr is 1.
Coefficient of rp in the term – rp is -1.

(v) In the expression \frac { x }{ 2 } +\frac { y }{ 2 } -xy, the terms are \frac { x }{ 2 } ,\frac { 7 }{ 2 } and – xy.
Coefficient of x in the term \frac { x }{ 2 } is \frac { 1 }{ 2 }
Coefficient of y in the term \frac { y }{ 2 } is \frac { 1 }{ 2 }
Coefficient of xy in the term – xy is -1.

(vi) In the expression 0.3a -0.6 ab + 0.5 b, the terms are 0.3a, – 006ab and 0.5b.
Coefficient of a in the term 0.3a is 0.3.
Coefficient of ab in the term – 0.6ab is – 0.6.
Coefficient of b in the term 0.5b is 0.5.

Ex 9.1 Class 8 Maths Question 2.
Classify the following polynomials as monomials, binomials, trinomials. Which polynomials do not fit in any of these three categories?
x + y, 1000, x + x2 + x3 + x4, 7 + y + 5x, 2y – 3y2, 2y – 3y2 + 4y3, 5x – 4y + 3xy, 4z – 15z2, ab + bc+cd + da, pqr, p2q + pq2, 2p + 2q.
Solution:
The given polynomials are classified as under :
Monomials : 1000, pqr
Binomials : x + y, 2y – 3y2, 4z -15z2, p2q + pq2, 2p + 2q.
Trinomials : 7 + y + 5x, 2y – 3y2 + 4y3, 5x – 4y + 3x.
Polynomials that do not fit in any categories :
x + x2 + x3 + x4, ab + be + cd + da.

Ex 9.1 Class 8 Maths Question 3.
Add the following :
(i) ab – be, be – ca, ea – ab
(ii) a – b + ab, b-c + be, c – a + ac
(iii) 2p2q2 – 3pq + 4, 5 + 7pq – 3p2q2
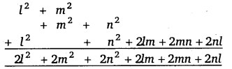
(iv) l2 + m2, m2 + n2, n2 + l2, 2Im + 2mn + 2nl
Solution:
(i) Writing the given expressions in separate rows with like terms one below the other, we have
NCERT Solutions for Class 8 Maths Chapter 9 Algebraic Expressions and Identities 1

(ii) Writing the given expressions in separate rows with like terms one below the other, we have
NCERT Solutions for Class 8 Maths Chapter 9 Algebraic Expressions and Identities 2

(iii) Writing the given expressions in separate rows with like terms one below the other, we have
NCERT Solutions for Class 8 Maths Chapter 9 Algebraic Expressions and Identities 3

(iv) Writing the given expressions in separate rows with like terms one below the other, we have
NCERT Solutions for Class 8 Maths Chapter 9 Algebraic Expressions and Identities 4

Ex 9.1 Class 8 Maths Question 4.
(a) Subtract
4a – lab +36 + 12 from 12a – 9a6 + 56-3
(b) Subtract
3xy + 5yz – Izx from 5xy – 2yz – 2zx + IQxyz
(c) Subtract 4p2q – 3pq + 5pq2 – 8p + 7q – 10 from 18 – 3p – 11q + 5pq – 2pq2 + 5p2q.
Solution:
Rearranging the terms of the given expressions, changing the sign of each term of the expression to be subtracted and adding the two expressions, we get
NCERT Solutions for Class 8 Maths Chapter 9 Algebraic Expressions and Identities 5

We hope the NCERT Solutions for Class 8 Maths Chapter 9 Algebraic Expressions and Identities Ex 9.1 help you. If you have any query regarding NCERT Solutions for Class 8 Maths Chapter 9 Algebraic Expressions and Identities Ex 9.1, drop a comment below and we will get back to you at the earliest.

Ncert Math Solution Class 8 Chapter 9.1

Source: https://www.cbsetuts.com/ncert-solutions-for-class-8-maths-chapter-9/